Cơ sở dữ liệu BioTIME chứa dữ liệu thô về các loài và sự phong phú của các loài sinh vật trong các tập hợp sinh thái theo thời gian. Những dữ liệu này cho phép người dùng dự đoán xu hướng diễn biến đa dạng sinh học theo thời gian. BioTIME đang được phát triển như một cơ sở dữ liệu nguồn mở về đa dạng sinh học theo thời gian, với mục tiêu đẩy nhanh và tạo điều kiện phân tích định lượng các mô hình đa dạng sinh học theo thời gian ở kỷ Nhân sinh (Anthropocene).
Tổng cộng phiên bản BioTIME công bố trong bài báo chứa 8.777.413 hồ sơ về sự phong phú của các loài, với hơn 547.161 địa điểm thu thập dữ liệu khác nhau, từ 361 nghiên cứu, các dữ liệu được lấy mẫu liên tục trong tối thiểu 2 năm. Cơ sở dữ liệu được thu thập từ các vùng Cực cửa trái đất đến xích đạo, từ độ sâu khoảng 5000 m đến độ cao 4000 m trên mực nước biển, và bao gồm các vùng biển, nước ngọt và thềm lục địa. Cơ sở dữ liệu trải dài 21/26 vùng sinh thái (WWF; [http://www.worldwildlife.org/biomes]). Tuy nhiên, các địa điểm lấy mẫu, với hầu hết các nghiên cứu diễn ra ở châu Âu, Bắc Mỹ và Úc.
Gần 70% bộ số liệu thuộc 4 nhóm sinh vật: thực vật trên cạn, chim, cá và động vật không xương sống. Trong đó, cá chiếm 28% trong tổng số cơ sở dữ liệu. Hồ sơ BioTIME kéo dài 118 năm (từ 1874 đến 2016), với chuỗi thời gian của bộ dữ liệu dài nhất là 97 năm và thời gian trung bình là 13 năm. Cụ thể, hơn 56,5% dữ liệu có thời gian là 10 năm, 42% từ 10 đến 50 năm và 1,4% trên 50 năm.
Phiên bản 1.0 của cơ sở dữ liệu BioTIME có thể được tải xuống từ địa chỉhttps://zenodo.org/record/1095627 hoặc từ http://biotime.st-andrews.ac.uk/.
Hình 1: Phía trên: Vị trí địa lý của tất cả các dữ liệu trong BioTIME có màu xám đậm, với các điểm trung tâm trên mỗi nghiên cứu được trình bày dưới dạng vòng tròn có màu sắc và kích thước khác nhau, theo taxa và số loài. Phía dưới: Bản đồ được phủ với các ô lưới ~ 4 ° màu theo độ dài thời gian (từ 2 năm đến hơn 90 năm).
Theo Hình 1 (phía trên), dữ liệu trong BioTIME chủ yếu tập trung ở các nước Châu Âu, Bắc Mỹ và Úc. Cơ sở dữ liệu cũng được thu thập rải rác ở Châu Phi, Trung Quốc và Châu Á. Việt Nam chỉ có một địa điểm, đó là Vườn quốc gia Tam Đảo (nghiên cứu của Vũ Văn Liên với nghiên cứu gần 10 năm).

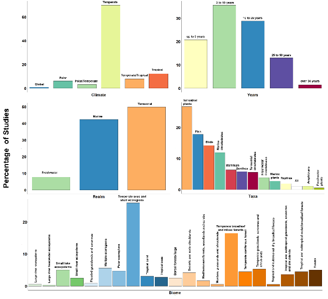
Hình 2: Tỷ lệ các nghiên cứu theo các nhóm phân loại khác nhau: Khí hậu, Số năm thu thập dữ liệu, Vùng (Realm), Taxa và Quần xã (Biome).
Hình 2 cho thấy theo khí hậu, phần lớn các dữ liệu đến từ vùng ôn đới; theo thời gian, dữ liệu chủ yếu được thu thập từ 3-10 năm; theo vùng, dữ liệu nhiều nhất là trên đất liền, tiếp theo là biển, ở nước ngọt rất ít; theo taxa, thực vật trên đất liền là nhiều nhất, tiếp đến là cá và chim; theo quần xã, nhiều nhất là ở vùng biển ôn đới và các hệ sinh thái thềm lục địa, tiếp theo là rừng lá rộng và hỗn giao ôn đới. Rừng lá rộng nhiệt đới và rừng khô á nhiệt đới rất ít dữ liệu.
Cơ sở dữ liệu BioTIME có sự đóng góp của hàng trăm nhà khoa học trên toàn thế giới./.
Tin: Vũ Văn Liên
Bảo tàng Thiên nhiên Việt Nam
Tên bài báo: Maria Dornelas, Laura H. Moyes F.,…, Vu Van Lien,.. 2018. BioTIME: A database of biodiversity time series for the Anthropocene. Global Ecology and Biogeography. DOI: 10.1111/geb.12729
